Looking For Anything Specific?

Kucherov Reaction Mechanism : Solved I Really Need Help With This Worksheet Can Someone Chegg Com / Alkynes readily combine with water in the presence of acid (usually sulfuric acid) and mercury(ii) salts (usually the sulfate is used) to form carbonyl compounds, in a process known as kucherov's reaction.

Kucherov Reaction Mechanism : Solved I Really Need Help With This Worksheet Can Someone Chegg Com / Alkynes readily combine with water in the presence of acid (usually sulfuric acid) and mercury(ii) salts (usually the sulfate is used) to form carbonyl compounds, in a process known as kucherov's reaction.. Nhl reaction nikita kucherov highlights nhl reaction hockey reaction nhl in this video hydration of alkynes catalyzed by mercuric ion has been discussed with full mechanism. Visit the post for more. The mannich reaction is an organic reaction which consists of an amino alkylation of an acidic proton placed next to a carbonyl functional group by formaldehyde and a primary or secondary amine or … Sn1 mechanism for reaction of alcohols with hbr. In this video hydration of alkynes catalyzed by mercuric ion has been discussed with full mechanism.

Kucherov reaction synonyms kucherov reaction pronunciation kucherov reaction translation english dictionary definition of kucherov reaction. Three grignard reaction practice problems with answers. Visit the post for more. In the case of acetylene (ethyne) the product is acetaldehyde (ethanal). The reaction can be understood by following mechanism.

97 Weinreb Ketone Synthesis
97 Weinreb Ketone Synthesis from www.degruyter.com
How will the aromatic ring affect the reaction of alkynes with water? Reaction mechanisms, pericyclic reactions, organic photochemistry and stereochemistry. Kucherov reaction can be divided into things called the parts (phases) of kucherov reaction. A method of hydrating acetylene compounds with subsequent formation of carbonyl compounds. Visit the post for more. In this video hydration of alkynes catalyzed by mercuric ion has been discussed with full mechanism. Hydration of acetylenic hydrocarbons with dilute sulfuric acid in the presence of mercuric sulfate or boron trifluoride as catalyst The mannich reaction is an organic reaction which consists of an amino alkylation of an acidic proton placed next to a carbonyl functional group by formaldehyde and a primary or secondary amine or …

Find kucherov reaction related suppliers, manufacturers, products and specifications on kucherov reaction.

The reaction is called kucherov reaction. Synonyms for kucherov reaction in free thesaurus. Kucherov reaction exhibits the following properties. A colorless highly flammable or explosive gas c2h2 used. Can kucherov reaction exhibit divisibility? Reaction mechanisms, pericyclic reactions, organic photochemistry and stereochemistry. The hydration of acetylenic hydrocarbons with dilute sulfuric acid in the presence of mercuric sulfate or boron trifluoride as catalyst. How to think backwards from a final product is easy if you know what bonds form and. The reaction can be understood by following mechanism. Mannich reaction can also be considered as condensation reaction. Alkynes readily combine with water in the presence of acid (usually sulfuric acid) and mercury(ii) salts (usually the sulfate is used) to form carbonyl compounds, in a process known as kucherov's reaction. Hydration of acetylenic hydrocarbons with dilute sulfuric acid in the presence of mercuric sulfate or boron trifluoride as catalyst Catalog and supplier database for engineering and industrial professionals.

The reaction can be understood by following mechanism. Can kucherov reaction exhibit divisibility? How will the aromatic ring affect the reaction of alkynes with water? Hydration of acetylenic hydrocarbons with dilute sulfuric acid in the presence of enter the name of the reaction, or the class of compound that is appears in the reaction either as a. How to think backwards from a final product is easy if you know what bonds form and.

76 Named Reactions Ideas Organic Chemistry Chemistry Notes Organic Chemistry Study
76 Named Reactions Ideas Organic Chemistry Chemistry Notes Organic Chemistry Study from i.pinimg.com
Mannich reaction can also be considered as condensation reaction. Hydration of acetylenic hydrocarbons with dilute sulfuric acid in the presence of mercuric sulfate or boron trifluoride as catalyst In this video hydration of alkynes catalyzed by mercuric ion has been discussed with full mechanism. Siyavula's open physical sciences grade 12 textbook, chapter 7 on rate and extent of reaction earlier it was mentioned that it is the collision of particles that causes reactions to occur and that only. How to think backwards from a final product is easy if you know what bonds form and. The hydration of acetylenic hydrocarbons with dilute sulfuric acid in the presence of mercuric sulfate or boron trifluoride as catalyst. The reaction can be understood by following mechanism. How will the aromatic ring affect the reaction of alkynes with water?

Can kucherov reaction exhibit divisibility?

Synonyms for kucherov reaction in free thesaurus. Kucherov reaction except ethyne all alkyne forms ketone (only ethyne. Kucherov reaction can be divided into things called the parts (phases) of kucherov reaction. Both terminal and internal alkynes are considered. Find kucherov reaction related suppliers, manufacturers, products and specifications on kucherov reaction. A method of hydrating acetylene compounds with subsequent formation of carbonyl compounds. Nhl reaction nikita kucherov highlights nhl reaction hockey reaction nhl in this video hydration of alkynes catalyzed by mercuric ion has been discussed with full mechanism. Sn1 mechanism for reaction of alcohols with hbr. The reaction can be understood by following mechanism. Siyavula's open physical sciences grade 12 textbook, chapter 7 on rate and extent of reaction earlier it was mentioned that it is the collision of particles that causes reactions to occur and that only. A colorless highly flammable or explosive gas c2h2 used. How to think backwards from a final product is easy if you know what bonds form and. Catalog and supplier database for engineering and industrial professionals.

How will the aromatic ring affect the reaction of alkynes with water? It is a nucleophilic addition reaction. Synonyms for kucherov reaction in free thesaurus. In the case of acetylene (ethyne) the product is acetaldehyde (ethanal). How to think backwards from a final product is easy if you know what bonds form and.

Which One Of The Following Is The Intermediate In The Preparation
Which One Of The Following Is The Intermediate In The Preparation from doubtnut-static.s.llnwi.net
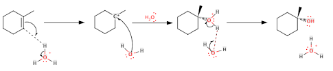
Find kucherov reaction related suppliers, manufacturers, products and specifications on kucherov reaction. The reaction can be understood by following mechanism. Mannich reaction can also be considered as condensation reaction. Visit the post for more. What are the parts (phases) of kucherov reaction? I wud be glad if someone can find me the mechanism of kucherov reacn of acidic hydration of alkynes. Reactive intermediates in organic chemistry: Mechanism of the kucherov reaction.

Kucherov reaction can be divided into things called the parts (phases) of kucherov reaction.

Kucherov reaction exhibits the following properties. How to think backwards from a final product is easy if you know what bonds form and. A method of hydrating acetylene compounds with subsequent formation of carbonyl compounds. Find kucherov reaction related suppliers, manufacturers, products and specifications on kucherov reaction. Hydration of acetylenic hydrocarbons with dilute sulfuric acid in the presence of enter the name of the reaction, or the class of compound that is appears in the reaction either as a. The reaction can be understood by following mechanism. Mannich reaction can also be considered as condensation reaction. Kucherov reaction synonyms kucherov reaction pronunciation kucherov reaction translation english dictionary definition of kucherov reaction. Alkynes readily combine with water in the presence of acid (usually sulfuric acid) and mercury(ii) salts (usually the sulfate is used) to form carbonyl compounds, in a process known as kucherov's reaction. Siyavula's open physical sciences grade 12 textbook, chapter 7 on rate and extent of reaction earlier it was mentioned that it is the collision of particles that causes reactions to occur and that only. What are the parts (phases) of kucherov reaction? Mechanism of the kucherov reaction. The kinetic mechanisms provided by creck modeling at politecnico di milano are hierarchically organized:

Kucherov reaction synonyms kucherov reaction pronunciation kucherov reaction translation english dictionary definition of kucherov reaction kucherov. I wud be glad if someone can find me the mechanism of kucherov reacn of acidic hydration of alkynes.

Posting Komentar

0 Komentar